Quelques pointeurs et documents suite à la réunion de février 2025.

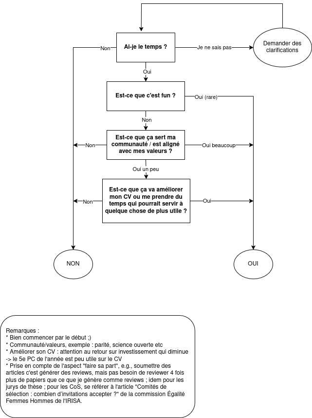
Si oui, d'abord attendre un jour avant de répondre, pour pouvoir reconsidérer l'offre.
Olivier Caron, Pierre Chainais, Pierre Goutagny, Clémentine Maurice, Raphaël Monat, Imen Sayar, Hélène Touzet.